顏色色彩管理、配色
咨詢熱線:400-888-5135 020-82880288

分光測色儀的精密度和準確度用什么表示?
信息來源:三恩時品牌廠家
瀏覽次數:546
發表時間:2025-11-04
分光測色儀是顏色測量中比較常用的一種儀器,在選購這類儀器時,需要考慮到很多的測量指標,其中就包括儀器的精密度和準確度。那么,分光測色儀的精密度和準確度用什么表示?本文對分光測色儀精密度和準確度做了介紹。

分光測色儀的精密度含義:
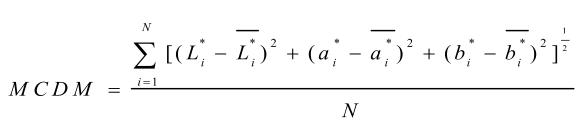
用同一臺顏色測量儀器,同一個樣品,做多次測量,得到一組數據,將各次數據的平均值與各次數據求色差,再求這些色差的平均值,稱為均離色差(MCDM),表示儀器的精密度或重復性。均離色差的表達式為:

式中,L*i、a*i、b*i分別為N次測量中第i次測量的CIELab坐標,L*i、a*i、b*i為各自的平均值?,F代顏色測量儀器精密度色差△E*ab可以小于0.1,而一般人眼可看到顏色變化時要近似1個色差單位,所以這個精密度是較為滿意的。
分光測色儀準確度介紹:
準確度要與標準值相比較才能得到。而通常分光測色儀、分光光度計和光譜輻射計準確度要比其精密度差,甚至多達一個數量級。用同一臺儀器,測量同一個樣品,做多次測量,得到一組數據,每次數據與標準值相比計算色差,再求各次色差的平均值,即與標準值的平均色差,表示儀器的準確度。
分光測色儀的精密度和準確度用什么表示?
精密度和準確度的重要性依賴于應用,不可一概而論。當用于檢驗產品顏色一致性時,由于其光譜組成近似相等,儀器精密度是十分重要,而很高的準確度是不必要的。而使用同一類型但不同儀器,或不同類型的儀器、或樣品的光譜組成相差較大時,準確度就十分重要了。精密度和準確度是評價儀器優劣的重要因素,精密度太差則說明儀器自身就穩定也不可靠。分光測色儀中,常用“重復性”描述精密度,“儀器間一致性”描述準確度。
上一頁 : CIELAB(L*C*H*)顏色空間及色差計算式
下一頁 : CIELab顏色空間色差公式的兩種不同表示形式