顏色色彩管理、配色

顏色怎么表示?顏色的幾種表示方法
定量地表示顏色稱為顏色表征或表色,所表示的數值叫做顏色表征值或表色值。為了表征顏色而采用的一系列規定和定義所形成的體系稱為顏色系統,這些顏色系統是顏色表示的依據。那么,顏色怎么表示?本文對顏色的幾種表示方法做了介紹。

顏色的光譜表示法:
光譜表示法是以反射率曲線來表示顏色特性的方法,它是以可見光光譜的波長作橫坐標,以被測物的反射率為縱坐標繪制成的曲線。非發光物體的顏色是由它對入射光選擇性吸收后的反射光光譜成分所決定的。下圖中的三條反射率曲線分別表示的是紅色、黃色和藍色。

顏色的CIEXYZ色度系統表示法:
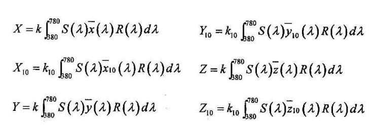
物體顏色的定量測定是很復雜的,它涉及到觀察者的視覺生理、視覺心理及照明條件、觀察條件等許多因素。顏色的測量和標定應符合人眼的觀察結果,為了標定顏色,首先必須研究人眼的顏色視覺特征。然而,不同觀察者的顏色特征多少是有差異的,這就要求通過許多觀察者的顏色視覺實驗,確定一組為匹配等能光譜色所需的三原色數據,即標準色度觀察者光譜三刺激值,以此來代表人眼的平均顏色視覺特性,用于色度學計算和標定顏色。為此,1931年,CIE根據研究人員的實驗結果,推出了“CIE1931-RGB”標準色度觀察者光譜三刺激值。由于該系統在標定光譜色的原色時出現負值,計算不方便,不易理解,又在CIE-RGB系統基礎上導出了“CIE1931-XYZ”系統,X、Y和Z代表三原色的三刺激值。由X、Y、Z三維空間直角坐標系統可以轉化為CIE1931-xy色度圖,x、y、z三坐標與三刺激值X、Y、Z有如下關系:
x=X/(X+Y+Z)、y=Y/(X+Y+Z)、z=Z/(X+Y+Z)
在CIE1931-xy色度圖中x色品坐標表示紅原色的比例,y色品坐標表示綠原色所占的比例。由于z=1-(x+y),故系統中沒有表示出相當于藍原色的z坐標。利用此圖可以在平面空間中表示出XYZ間的相對關系。CIE1931-xy色度圖如下所示:

圖中的C點表示CIE標準光源C,曲線為光譜軌跡曲線,沿著曲線標明了每種純顏色光的波長。光譜軌跡曲線與連接光譜曲線兩端所形成的馬蹄形內包括了一切物理上能實現的顏色。只要測定了樣品的三刺激值X、Y、Z,就可以用色品坐標x、y和明度Y(即Y刺激,表示顏色明暗大小的程度)來確定這種樣品的顏色。
為了適應10°大視場的色度測量,1964年 CIE 又發展了“CIE1964 補充標準色度學系統”。
XYZ三刺激值是通過色刺激函數每一個波長的值乘以CIE色匹配函數每一個波長上的值,并將每一組乘積在相應整個可見光譜的波長范圍內積分起來得到。按實踐中常用的方法,對于反射物體色,其結果可用400-700nm波長范圍內,間隔20nm的波長處的乘積和來近似表示。三刺激值的計算公式為:

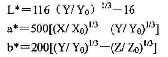
顏色的CIE1976Lab系統表示方法:
CIE 推薦的X、Y、Z空間是不均勻的,在此空間中,兩對等距的顏色點并不一定給人以相同的顏色感覺。為了提高計算結果與視覺的相關性,CIE推出了幾種均勻顏色空間,其中應用最廣泛的是CIE1976L*a*b*均勻顏色空間。當X、Y、Z和X0、Y0、Z0滿足條件X/X0>0.008856、Y/Y0>0.008856和Z/Z0>0.008856時,其坐標參數為:

當X/X0、Y/Y0和Z/Z0三個值中任一個小于0.008856時,其坐標參數為:

式中,L*為明度指數,表示黑一白軸,a*和b*為色度指數,分別表示紅一綠軸和黃一藍軸。L為100時,表示對光完全散射的漫射體;L為0時,表示對光完全吸收的黑體。a*值越大,樣品的色調越紅;b*值越大,色調就越黃。X0、Y0、Z0代表CIE標準照明體照射在完全漫反射體上,然后又反射到人眼中的三刺激值,其值可參考相應的文獻。