顏色色彩管理、配色
咨詢熱線:400-888-5135 020-82880288

顏色定量描述中比較常見的幾個顏色模型
信息來源:三恩時品牌廠家
瀏覽次數:487
發表時間:2025-10-14
顏色模型也稱顏色空間,是一種用人們可接受的方式對顏色進行描述的一種方法。在顏色的定量描述與測量中,經常會用到各種各樣的顏色空間。本文對顏色定量描述中比較常見的幾個顏色模型做了介紹。

RGB顏色模型:
根據RGB三基色原理,每種顏色都可以由紅、綠、藍三種基色進行加權產生。RGB模型基于笛卡爾系統,可以用下圖的單位立方體來進行描述。

圖中,R,G,B分別位于3個角上,黑色在原點處,白色在離原點最遠的角上,灰色等級沿著黑白兩點的連線分布。為了方便起見,所有的顏色范圍都進行了歸一化。
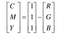
CMY顏色模型:
CMY常用在印刷工業上,通過減色合成法來產生其他顏色。CMY到RGB的轉換公式如下。

黑色可以使用等量的色彩產生。由于實際情況下產生的黑色是不純的,因此在打印時,往往加入第四種顏色-黑色,即CMYK模型。
HSI顏色模型:
RGB和CMYK對硬件實現來說很理想,但是并不適于人類視覺對色彩的感知與理解。人類視覺常用色調、色飽和度和亮度來對物體進行描述。HSI(色調、飽和度、亮度)彩色模型描述就是一種對人類視覺自然而直觀的模型。其與RGB模型轉換公式為:

CIEXYZ顏色模型:
1931年國際照明委員會CIE 定義了CIE-XYZ顏色模型,用于解決RGB模型生成顏色時比例系數出現負值的現象。RGB模型與XYZ模型轉換公式如下:

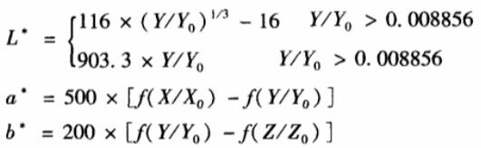
CIELab顏色模型:
CIELab是為了計算對應的孟塞爾色排序系統而產生的,同時它也是慣常用來描述人眼可見的所有顏色的最完備的色彩模型。它可有由CIEXYZ基本系統得到,轉換公式如下:

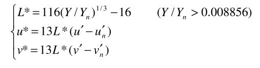
CIELuv顏色模型:
與CIELab顏色模型類似,CIELuv顏色模型也是由CIEXYZ模型擴展得來,其轉換公式如下:

上一頁 : 色差儀CIE標準色度系統之CIEXYZ表色系統
下一頁 : RGB顏色空間及RGB顏色空間色差值的計算