顏色色彩管理、配色

色差儀常用色差公式的類型及色差公式計算式
色差儀作為顏色比對儀器,其大多會配置多種類型的色差公式,用于測色時,對顏色之間的差異值進行計算。本文對色差儀常用色差公式的類型及色差公式計算式做了介紹,對色差公式知識感興趣的朋友不妨了解一下!

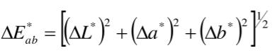
色差儀ΔE*ab色差公式及計算式:
ΔE*ab色差公式是CIELAB色差公式的簡稱,是色差儀中目前使用最為廣泛的一個色差公式。CIELAB色差公式是基于近似均勻的三維顏色空間建立的,由直角坐標L*、a*、b*構成,國際照明委員會推薦使用。該色差公式建立在CIELAB顏色空間之上,在L*a*b*公式中,L*表示明度,a*表示紅色和綠色的成分,b*表示黃色和藍色的成分。若兩個顏色都是按照L*a*b*標定的,則兩個顏色之間的色差可以用歐式距離來計算:

其中,△L*是CIELAB空間的明度差,△a*是CIELAB空間的紅綠色光差,△b*是CIELAB空間的黃藍色光差。△a*和△b*表示樣本和標準在ab*平面上位置的改變。如果將CIELab均勻顏色空間轉化為極坐標空間,則能更好地表示色差的性質,極坐標空間用LCH表示。因此,CIELAB色差公式也可以用明度差△L*、彩度差△C*ab和色相差△H*ab來定義,即:

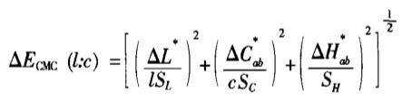
△E*CMC色差公式及計算式:
△E*CMC是CMC(l:c)色差公式的簡稱,△E*CMC在修正CIELAB色差公式的基礎上,根據視覺關系調整了每個色調方向的色差橢圓大小和形狀;改善了彩度差變化與明度之間的關系,使不同彩度的顏色具有不同的色差容限。CMC(l:c)公式定義視覺特性為橢圓,橢圓內部所表示的顏色與標準色在視覺特性上表示一致,橢圓外部所表示的顏色則不一樣。用橢圓方程定義的色差公式如下所示:

上式中,△L*、△C*、△H*三個參數分別代表明度差、彩度差和色相差,下標為std的代表標準樣本。SL、SC、SH橢圓的半軸,l是明度權重因子,c是彩度權重因子,通過改變l,c因子改變相對橢圓半軸的長度來控制色差范圍,對于可接受色差取l=2,c=1。
△E*94色差公式及計算式:
△E*94色差公式全稱為“CIE1994(△L*△C*ab△H*ab)色差模型”,正式縮寫形式是CIE94。△E*94色差公式是CMC(1:c)色差公式的一種改良形式,其結構與ΔE*CMC(l:c)色差公式相似的公式,該公式的計算式如下所示:

式中ΔL*,△C*ab,△H*ab分別表示兩種顏色間的明度差、彩度差和色相差。參數因子KL,KC,KH可根據不同的評價對象和評價條件選擇不同數值,參考條件下的參數因子數值均為1。當觀察條件改變時,可以對各參數進行單獨改變以適應視覺上每個顏色分量(明度、彩度、色相)的變化。在印刷行業中推薦使用kL=1.4,kC=kH=l;在紡織行業中,當kL=2,kC=kH=1時,CIE94色差公式計算結果與視覺評價更接近。
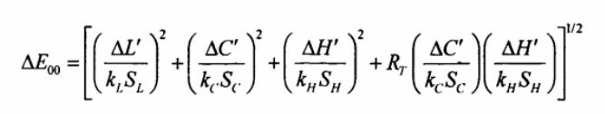
△E*00色差公式及計算式:
ΔE*00色差式是CIEDE2000色差公式的簡稱,是CIE最新推薦的基于CIELAB的色差公式。CIE2000色差公式重新定義了色差計算方法,使得在整個CIELab(L*a*b*色度空間)中,色差計算值與人眼評估更為接近。新的色差公式在原色差計算公式基礎上,另外特別引用了三個新的重量系數SL,SC和SH,分別代表了在亮度△L*、飽和度△C*和色調△H*方向上的差異程度。其計算公式如下:

式中:KL、KC、KH是三個常量參數,根據測試對象的不同或者色彩品質控制的要求來定義,在紡織行業中,KL一般取2,KC和KH一般取1;SL、SC、SH分別表示明度、彩度和色相的權重系數,用來校正顏色空間的均勻性;RT表示旋轉函數,用來校正顏色空間中藍色區域容差橢圓主軸方向的偏轉。